Dike Rotation Analysis

 

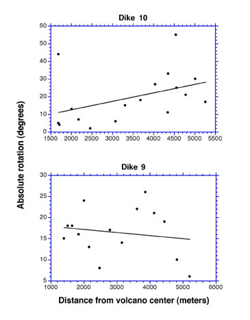
-> Dikes 9, 15, 16, and 17 have segments whose rotation decreases with distance from the central intrusive complex

-> Dike 9 is very near Dike 10, which shows normally increasing rotation with distance

-> Dikes 15, 16, and 17 are very near Dike 20, which shows normally increasing rotation with distance

-> There is evidence for dikes "feeling" caldera walls and landslide scarps and changing their trends to avoid such boundaries - in such cases, dikes curve away from boundaries because it is easier to push against the boundary wall than to break through

-> I propose that Dikes 10 and 20 are younger than the nearby dikes, and that when the younger dikes were intruded they were affected by a local stress field around the older, solidified dikes and young segments could not rotate into orientations perpendicular to the existing dikes